汪宣鹏*1, 勝野那嘉子*2, 勝又明敏*3, 松原一生*3, 藤原 周*3, 山谷健太*4, 竹井 亮*4, 高橋肇*4, 松下光次郎*5, 今泉鉄平*2, 西津貴久*2†
*1 国立大学法人東海国立大学機構岐阜大学連合農学研究科:〒501-1193 岐阜県岐阜市柳戸1-1
United Graduate School of Agricultural Science, Gifu University, Tokai National Higher Education and Research System, 1-1 Yanagido, Gifu, 501-1193, Japan
*2 国立大学法人東海国立大学機構岐阜大学応用生物科学部:〒501-1193 岐阜県岐阜市柳戸1-1
Faculty of Applied Biological Sciences, Gifu University, Tokai National Higher Education and Research System, 1-1 Yanagido, Gifu, 501-1193, Japan
*3 学校法人朝日大学歯学部:〒501-0296 岐阜県瑞穂市穂積1851
School of Dentistry, Asahi University, 1851 Hozumi, Mizuho, Gifu, 501-0296, Japan
*4 亀田製菓株式会社:〒950-0198 新潟県新潟市江南区亀田工業団地 3-1-1
Kameda Seika Co., Ltd., 3-1-1 Kameda Kogyo Danchi, Konan, Niigata, Niigata, 950-0198, Japan
*5 東海国立大学機構岐阜大学工学部:〒501-1193 岐阜県岐阜市柳戸 1-1
Faculty of Engineering, Gifu University, Tokai National Higher Education and Research System, 1-1 Yanagido, Gifu, 501-1193, Japan
†Corresponding author : nishizu@gifu-u.ac.jp (西津貴久), wangxuanp@gmail.com (汪宣鹏)
DOI https://doi.org/10.11274/bimi.20.1_9
摘要
本研究提出了一种新颖的时域分析方法,用于解析米果的咀嚼振动。该方法将咀嚼振动信号解构为大量被称为“脆裂波”的短时振动单元的集合。通过口腔内振动刺激实验证实,即便在不实际进食的情况下,仅凭咀嚼振动刺激也足以唤起与食品质构相关的特定知觉。此外,通过呈现原始咀嚼振动与缺失了特定脆裂波的修正振动进行感官辨别实验,结果表明,脆裂波的功率分布是影响米果质构感官知觉的关键因素。本研究为理解食感产生的物理机制以及食品质构的客观量化评价提供了新的思路与方法。
[关键词] 米果,质构,咀嚼振动,脆裂波,振动刺激呈现
Effect of chewing vibrations on rice crackers texture perception
Xuanpeng Wang*1, Nakako Katsuno*2, Akitoshi Katsumata*3, Kazuki Matsubara*3, Shu Fujiwara*3, Kenta Yamaya*4, Ryo Takei*4, Hajime Takahashi*4, Kojiro Matsushita*5, Teppei Imaizumi*2, and Takahisa Nishizu*2†
Abstract
A novel timedomain approach was designed to analyze chewing vibrations by isolating the vibration signals with many short vibrations called cracklets. The oral stimulus test demonstrated that food texture perception is evoked only by vibration stimuli without actual food consumption. Discrimination test using a discrimination ratio identifying the differences between the original chewing vibrations and the modified vibrations modified by deleting some cracklets demonstrated that segments of cracklet power affected sensory texture perception of rice crackers.
[Keywords] rice cracker, texture, chewing vibration, cracklet, stimulus presentation
1. 引言
易碎食品如脆性食品的质构是人在咀嚼时,通过感知食品破碎产生的振动而形成的一种感觉。目前,评估这类质构主要有两种方法:一是感官评价法,二是以质构剖面分析(TPA)为代表的仪器分析法。感官评价法由评价员直接评定质构,是获取基于人类感性认知信息的理想途径,但其结果的良好再现性依赖于训练有素的评价员或足够大的样本量。相比之下,仪器分析法所得结果的再现性通常更优^1)^。例如,可通过弯曲试验^2)^、剪切试验^3)^或压缩试验^4)^来评估易碎食品的质构。这些测试利用质构分析仪等压缩/拉伸试验机,无需复杂预处理即可快速完成测量。然而,仪器分析结果有时与感官评价结果相关性不强,且同一食品因形状、大小不同可能导致评估值差异,因而往往不适用于整体测量。
基于破碎振动的质构分析是另一种仪器分析方法。鉴于酥脆感、硬脆感等食感很大程度上依赖于对咀嚼振动的感知^5)^,该方法可能更不易受前述仪器分析问题的干扰。易碎食品通常由受压易碎的玻璃态材料构成,部分产品还具有薄脆的多孔结构(即细胞结构体)。咀嚼时,人不仅通过体感感知破碎面产生的微小振动,也通过颅骨传导和空气传播将其作为声音接收,这些信号共同构成了(例如)酥脆感的知觉线索。因此,着眼于咀嚼振动及其伴随声音的仪器测量,实质上是直接捕获对人体的刺激输入,有望规避食品形状和尺寸带来的影响。迄今,研究已提出多种评价指标,如食品破碎音的振幅与事件数^6,7)^、平均声压级^8)^及振动波形的分形维数^9)^等。
在日本,大量拟声词(拟态词),如“サクサク”,被广泛用于描述易碎食品的质构,并成为感官评价中的重要“语言”。早川等人建立的日语质构术语体系^10)^便收录了“サクサク”、“パリパリ”、“カリカリ”等与易碎食品质构密切相关的词汇。此类基于拟声词的感官评价与前述咀嚼振动指标间的关系,主要依靠统计分析进行关联。此法虽实用有效,但咀嚼振动的具体成分如何影响人的食感知觉,尚待深入探究。若能明确影响食感知觉的关键振动成分,则有望在产品开发中,仅通过分析咀嚼振动来设定和验证质构目标,从而减少对繁琐感官评价的依赖。
为此,本研究研制了一种口腔内装置,既能检测记录咀嚼振动,也可通过输入振动信号向口腔施加刺激。我们以多种质构的米果为研究对象,记录了其咀嚼振动,并通过感官辨别实验,比较了原始振动与缺失了特定质构关联成分的人工振动对质构感知的影响,从而定量评估并探讨了振动刺激对食感的作用。本研究涉及的感官评价与口腔内实验均获朝日大学医院医学伦理审查委员会批准(批准号:29014)。
因此,我们开发了一种能够检测和记录咀嚼时的振动,并且能够通过输入振动信号向口腔施加振动的口腔内装置。以具有各种质构的米果为对象,通过记录其咀嚼振动,并向口腔施加从该振动信号中缺失了被认为与质构知觉相关的振动成分的人工咀嚼振动时的辨别试验,对振动刺激对质构的影响进行了定量评估和探讨。此外,本研究的感官评价和口腔内试验已获得朝日大学医院医学伦理审查委员会的批准(批准号:29014)。
2. 材料与方法
2.1 材料
本研究选用10种质构各异(从软质到硬质)的米果作为试样,包括未调味的市售品及已停产产品,详细信息见表1。其中,S1、S2、S3、S5、S6、S7、S8、S9与石桥等人^11)^ 先前研究采用的品种一致;S10则与中本等人^12)^ 质构研究中所用品种相同。所有试样均被切割成体积约3.5 cm³的小块,以便一口放入。试样密度通过菜籽置换法测定体积后计算得出^13)^。共有20名评价员(年龄20-24岁,男女均有)参与,品尝表1所列米果后,提供描述质构的词语,并为每种试样选出最合适的评价术语。
2.2.口腔内装置
为检测米果咀嚼过程中的振动,我们为10名评价员(年龄20-28岁,男女均有) 单独定制了佩戴于上颚的振动检测用口腔内装置(图1A)。该装置以塑料上颚保持器为基础,贴附压电薄膜(22.0 mm × 10.0 mm × 0.2 mm厚,Measurement Specialties, Inc., Hampton, VA, USA),并依据每位评价员的口腔印模精确成型,确保舒适贴合。咀嚼米果试样时,装置检测到的机械振动经放大器放大,由专用PC程序(定制)记录为数字信号。
采用类似工艺,我们制作了振动再现用口腔内装置(图1B),其在上颚保持器中嵌入了致动器(LD14-002,日本电产株式会社制)。通过PC专用程序将振动信号经放大器驱动致动器,可向口腔内施加模拟的咀嚼振动。
2.3.脆裂波 (cracklet)
振动检测装置记录的米果咀嚼振动波形示例如图2A-a。如图2A-b所示,该振动波形由大量具有明确起止点的独立波包(示例如图)集合而成,本研究称之为“脆裂波”。首先,利用Savitzky-Golay滤波器去除振动波形中的低频成分;随后,提取振幅超过设定阈值(本实验定为所采集振幅数据最大值的0.26%)的脆裂波。使用前述专用程序,计算每个脆裂波经最大熵法(MEM)得出的功率谱积分值(示例见图2A-c)。按公式(1)所示,将各脆裂波的功率谱积分值除以所有脆裂波中的最大积分值进行归一化,得到“脆裂波能量”。图2B-a展示了脆裂波出现时刻与其对应能量的关系;图2B-b则为脆裂波能量(取自然对数后)的分级频率直方图,其纵轴表示每秒的脆裂波数量,即“脆裂波频率”[s⁻¹]。

图2C-a展示了咀嚼振动波形及其脆裂波能量直方图的一个例子。若将直方图中虚线区域内所有脆裂波去除,则得到图2C-b所示的直方图,对应的振动波形也变为这些脆裂波完全缺失的状态(图2C-b)。此处理后的振动以下称为“修正振动”。修正振动波形信号的生成使用R软件(v.3.6.1)完成。
2.4.实验方法
2.4.1.感官评价
首先,20名评价员品尝3.5 cm³的米果试样,并给出最能描述其咀嚼时质构或食感的词语。将所有收集到的词语与早川等人的日语质构术语体系^10)^ 对照,最终归纳为该体系中的9个标准术语。
随后,进行10种米果试样的感官评价,要求评价员从上述9个术语中,为每种试样选出唯一一个最具代表性的质构术语。按公式(2)计算各术语针对每种米果的“术语选择率”。利用R软件(v.3.6.1)对感官评价结果进行因子分析。

2.4.2. 咀嚼振动获取与振动成分提取
10名佩戴振动检测装置的评价员(年龄20-28岁,男女均有)咀嚼10种米果试样,同步测量并记录咀嚼振动。测量开始时,评价员将试样置入口中,用切牙和臼齿轻轻夹住,并跟随节拍器以每2秒一次的节奏进行咀嚼。每名评价员对每种米果重复测量5次。振动数据以16位分辨率、44100 Hz采样率保存为WAV格式。后续分析选用振动强度和脆裂波频率较高的第一次咀嚼数据^14)^。
基于米果样品的咀嚼振动数据,按前述方法获得脆裂波能量的分级直方图。对每位评价员的直方图数据进行主成分分析(PCA)以实现数据降维^15)^。计算每个主成分下,各脆裂波能量分级对应因子载荷量的评价员平均值。按公式(3)计算每个能量分级下,因子载荷量超过平均值的评价员比例A。
本研究将A值不低于0.5的脆裂波能量分级,选定为构建修正振动波形时予以缺失的候选分级。

2.4.3.振动刺激呈现实验
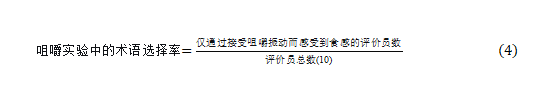
9名佩戴振动再现装置的评价员(年龄20-28岁,男女均有)参与实验。通过控制PC将修正振动信号经放大器输入装置内的致动器,向口腔呈现振动刺激。为验证振动能否独立唤起质构知觉,要求评价员在两种情况下从表2的9个术语中选择食感:一是亲自品尝米果时,二是仅接受记录的自咀嚼振动刺激时。按公式(4)分别定义并计算“米果咀嚼时”与“振动刺激呈现时”的术语选择率。每种试样测量3次。振动刺激的呈现顺序完全随机,不按米果品种分组。
对佩戴振动再现用口腔内装置的评价员(20至28岁的男女9名),进行了当呈现原始咀嚼振动与缺失了特定脆裂波的振动时,能否辨别两者的实验,并计算了按式(5)定义的辨别率^16)^。此实验也全部重复3次.

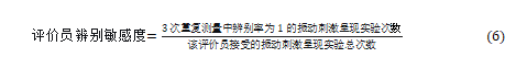
另外,各评价员对振动刺激的敏感度按式(6)计算.

3.实验结果与考察
3.1.感官评价
对10种米果试样的感官评价得出9个日语质构术语,列于表2。这些术语(カリカリ、ガリガリ、サクサク、ザクザク、パリパリ、バリバリ、ポリポリ、ボリボリ、ふわふわ)均属拟态词(拟声词),故需注意本研究结果主要适用于日语使用环境。
对术语选择率数据进行因子分析,得到前四个因子的特征值依次为4.084、2.325、1.223、0.649、0.365。前两个因子累计贡献率达91.0%,故保留两个因子是合理的。因子载荷图(因子1 vs. 因子2)如图3所示。参照早川体系^10)^,因子1可能对应力学特性中的“破碎易碎性”(中分类1.2下的小分类1.2.3),而因子2可能对应“硬度与破碎”(中分类1.1下的小分类1.1.5)。9个术语可划分为4个组别(图3):组1(ガリガリ、バリバリ、ボリボリ)、组2(パリパリ、カリカリ、ポリポリ)、组3(サクサク、ふわふわ)、组4(ザクザク)。为比较组间差异,从每组选取一个在图上分布相对离散的术语:バリバリ(组1)、パリパリ(组2)、サクサク(组3)、ザクザク(组4)。这些术语选择率最高的米果试样分别为S6、S10、S7和S1。后续振动分析即以此四组代表试样及对应术语进行。对10种米果试样进行感官评价的结果,选出了表2所示的9个质构术语(日语)。这9个术语"カリカリ"、"ガリガリ"、"サクサク"、"ザクザク"、"パリパリ"、"バリバリ"、"ポリポリ"、"ボリボリ"、"ふわふわ"均为称为拟态词的拟声词,因此需要认识到本研究的结果和考察仅限于日常使用日语的地区。
3.2. 咀嚼振动分析与振动成分提取
图4A展示了代表试样S1、S6、S7、S10的脆裂波能量(-4.5至0区间分为46级)分级直方图。所有试样均显示,脆裂波频率峰值出现在能量约-3.5处。组2代表S10在能量低于-3.5时频率最低,但在能量高于-2.7时频率最高;而组3代表S7在能量-0.7至0区间频率最低,在能量高于-3.5时频率则最高。
对脆裂波能量数据进行PCA分析,图4B展示了前三个主成分在各能量分级下因子载荷量的评价员平均值。计算每个分级下,三个主成分的A值(超过平均载荷的评价员比例)均值,将均值大于0.5的分级视为可能影响感官评价的候选成分(图4C黑点)。进一步将这些候选分级划分为8个组件(E1至E8,能量范围见图4C标注),并据此制作缺失相应组件的修正振动波形。
3.3. 振动刺激呈现实验
3.3.1. 振动刺激对质构知觉的唤起
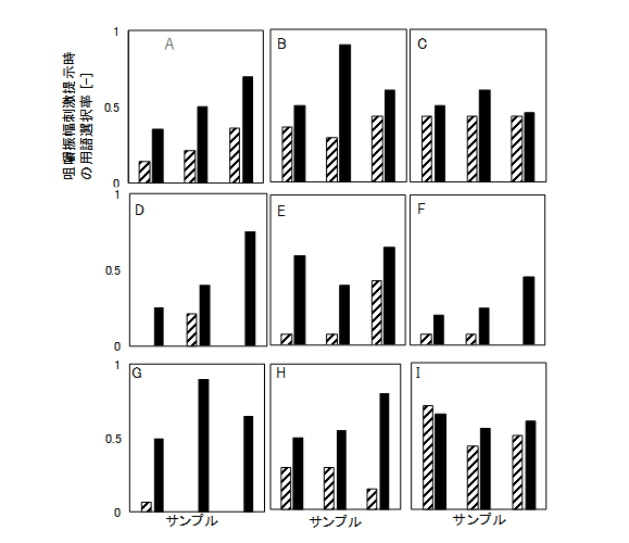
求得食用米果试样时以及咀嚼振动刺激呈现时的术语选择率,按各米果试样在感官评价中术语选择率最大的质构术语汇总的结果如图5所示。对于用"ザクザク"、"バリバリ"、"ガリガリ"、"ボリボリ"、"サクサク"、"カリカリ"这些质构术语评价的米果,明确了即使不咀嚼实物,仅通过呈现其咀嚼振动就有可能唤起与这些质构相关的知觉。除"カリカリ"外的质构术语,是属于图3所示因子分析图表中因子1的质构术语。因子1如前所述是"破碎易碎性"的评价轴,由此推测是受伴随破碎的咀嚼振动的影响。另一方面,对于用"パリパリ"、"ポリポリ"、"ふわふわ"这些质构术语评价的米果,有时咀嚼振动刺激呈现的术语选择率显示为零,认为仅靠咀嚼振动可能无法唤起与此类质构相关的知觉。在图3所示的因子分析图表中,它们是属于因子2的质构术语。因子2如前所述是"硬度与破碎"的评价轴,特别是推测与"硬度"相关的质构难以通过振动唤起。
3.3.2.通过振动刺激呈现进行质构辨别
呈现缺失了3.2选定的E1~E8组件中各一个而制作的咀嚼振动时的辨别率如图6A所示。8个组件中最大的辨别率约为0.5。将按式(6)定义的辨别敏感度高,即同一组合正确率高的3名评价员的辨别率结果示于图6B。图6B的结果比图6A所示的所有评价员的辨别率要大,认为对于考察咀嚼振动对食感知觉唤起的影响更为合适。在图6B中,辨别率为零的数据集表明,E1组件对组3或组4的质构唤起影响不大,同样,E2组件对组2或组3,以及E4组件对组1的质构唤起影响不大。反之,从辨别率达到0.78以上的数据集可知,E7组件和E5组件对组3的,以及E6组件对组4的质构唤起有影响。此外,推测E2组件和E5组件对组1(辨别率分别为0.57、0.67)的质构唤起有影响。
如前所述,在本数据集中对质构唤起影响相对较大的咀嚼振动组件是E2、E5、E6、E7,但根据图4A,E6和E7与E2和E5相比,脆裂波频率较小。另一方面,E3组件的脆裂波频率在本数据集中最大,但对组2的辨别率为零。由此推测,脆裂波频率对质构唤起的影响大小,因脆裂波能量的大小而异.
4. 结论
通过分析米果咀嚼振动数据并结合感官评价统计,本研究筛选出可能与特征质构相关的振动成分,并创新性地提出通过向口腔呈现缺失这些候选成分的振动刺激,来检验其在食感知觉唤起中的主导作用。通过对米果特征质构与咀嚼振动关系的实验探讨,获得以下成果:
(1) 研制了用于检测米果咀嚼振动的上颚佩戴式振动检测口腔内装置,以及用于向口腔呈现任意振动刺激的振动再现口腔内装置。
(2) 发现米果咀嚼振动由大量具有明确起止点的独立波包(命名为“脆裂波”)集合构成,并开发了从振动信号中提取脆裂波并计算其功率谱的程序。
(3) 利用10种市售米果的感官评价,确立了以9个拟声词(カリカリ、ガリガリ、サクサク、ザクザク、パリパリ、バリバリ、ポリポリ、ボリボリ、ふわふわ)描述其质构的可行性。通过因子分析的双标图,将9个术语区分为4个组别,主要关联“破碎易碎性”(因子1)和“硬度与破碎”(因子2)两个维度。
(4) 证实仅通过呈现特定米果的咀嚼振动,即可在不实际进食的情况下唤起部分质构(如ザクザク、バリバリ等)的知觉,但也识别出一些难以仅凭振动唤起的质构术语(如パリパリ、ポリポリ等)。
(5) 建立了基于脆裂波能量分级频率直方图、主成分分析(PCA)和因子载荷量筛选特征振动成分的方法,据此生成缺失特定成分的修正振动信号,并通过辨别实验评估其对质构知觉的影响。
(6) 初步表明,脆裂波的能量大小和出现频率共同影响米果质构的知觉唤起。
本研究受科学研究费补助金(JP20H01613)资助完成。
参考文献
1) Zdunek A, Cybulska J, Konopacka D, Rutkowski K: New contact acoustic emission detector for texture evaluation of apples, Journal of Food Engineering, 99(1), 83-91, 2010.
2) Vickers ZM, Christensen CM: Relationships between sensory crispness and other sensory and instrumental parameters, Journal of Texture Studies, 11(3), 291-307, 1980.
3) Bhattacharya M, Hanna MA: Textural properties of extrusion-cooked corn starch, Lebensmittel-Wissenschaft und Technologic, 20(4), 195-201, 1987.
4) Nixon R, Peleg M: Effect of sample volume on the compressive force-deformation curves of corn flakes tested in bulk. Journal of Texture Studies, 26(1), 59–69, 1995.
5) Varela P, Salvador A, Fiszman SM: Methodological developments in crispness assessment: Effects of cooking method on the crispness of crusted foods, LWT - Food Science and Technology, 41(7), 1252-1259, 2008
6) Saeleaw M, Schleining G: Effect of blending cassava starch, rice, waxy rice and wheat flour on physico-chemical properties of flour mixtures and mechanical and sound emission properties of cassava crackers, Journal of Food Engineering, 100(1), 12-24, 2010
7) Salvador A, Varela P, Sanz T, Fiszman SM: Understanding potato chips crispy texture by simultaneous fracture and acoustic measurements, and sensory analysis, LWT – Food Science and Technology, 42(3), 763-767, 2009.
8) Primo-Martín C, Sözer N, Hamer RJ, Van Vliet T: Effect of water activity on fracture and acoustic characteristics of a crust model, Journal of Food Engineering, 90(2), 277–284, 2009
9) Tesch R, Normand MD, Peleg M: Comparison of the acoustic and mechanical signatures of two cellular crunchy cereal foods at various water activity levels, Journal of the Science of Food and Agriculture, 70(3), 347-354, 1996.
10) 早川文代: 日本語テクスチャー用語の体系化と官能評価への利用, 日本食品科学工学会誌, 60(7), 311–322, 2013.
11) 石橋 賢, 深瀧 創, 宮田 一乘: 米菓を対象としたシズル語の印象評価:-オノマトペを中心に-, 人工知能学会論文誌, 30(1), 229-236, 2014.
12) Nakamoto H, Nishikubo D, Kobayashi F: Food texture evaluation using logistic regression model and magnetic food texture sensor, Journal of Food Engineering, 222, 20-28, 2018
13) 細井友加里, 山谷健太, 竹井 亮, 勝野那嘉子, 西津貴久: 米菓の物性と構造が口どけ感に及ぼす影響, 日本食品科学工学会誌, 65(12), 573-582, 2018.
14) Lee III WE, Deibel AE, Glembin CT, Munday EG: Analysis of food crushing sounds during mastication: frequency-time studies. Journal of Texture Studies, 19(1), 27-38, 1988,
15) Johnson RA, Wichern DW: Applied multivariate statistical analysis. 6thed, Chapter 8, Prentice–Hall (NJ), 2007.
16) Sivakumaran MH, Mackenzie AK, Callan IR, Ainge JA, O′Connor AR: The Discrimination ratio derived from novel object recognition tasks as a measure of recognition memory sensitivity, not Bias, Scientific Reports, 8(1), 1-13, 2018.

表 2 選抜した 9個のテクスチャー用語

図1 口腔内装置示意图A:振动检测用口腔内装置, B:振动再现用口腔内装置

A-a:咀嚼振动波形示例,A-b:脆裂波,A-c:通过最大熵法(MEM)计算出的脆裂波功率谱
B-a:脆裂波出现时刻及其时的脆裂波能量,B-b:以自然对数表示的脆裂波能量分级直方图
C-a:原始咀嚼振动波形(左)与脆裂波能量直方图(右),C-b:去除脆裂波后的修正振动波形(左)与被去除脆裂波所属的脆裂波能量标签(右)米菓の咀嚼振動波形とデータ処理の流れ

図3 米果质构感官评价的因子分析结果(F1:因子1,F2:因子2)

A:S1 (Δ),S6 (▲),S7 (●),S10 (○)的直方图,
B:脆裂波能量分级别的因子载荷量评价员间平均值 第1主成分(○),第2主成分(▲),第3主成分(●),
C:脆裂波能量各分级别的A,0.5以上(●), 0.5未满(○)
成分组别:E1(-4.4至-4.3),E2(-4.2至-3.9),E3(-3.9至-3.2),E4(-3.1至-2.9),E5(-2.8至-2.6),E6(-2.3至-2.2),E7(-1.0至-0.9),E8(-0.3至0)

図5 米果咀嚼时与咀嚼振动刺激呈现时的术语选择率
米菓咀嚼時(斜纹线),咀嚼振动呈现时(实线)
グループ1: A(ボリボリ),B(ガリガリ),C(バリバリ)
グループ2:D(パリパリ),E(カリカリ),(ポリポリ)
グループ3:G(ふわふわ),H(サクサク)
グループ4:I(ザクザク)

A: 所有评价员的平均辨别率
B: 正确率高的评价员的平均辨别 E1からE8までのコンポーネントに所属するクラックレットを欠損した咀嚼振動の識別率
